Разбор 9 задания

Категория: ОГЭ
Задание 9 - Проверяет ваше умение анализировать информацию, представленную в виде схем.

📝 Практические задания

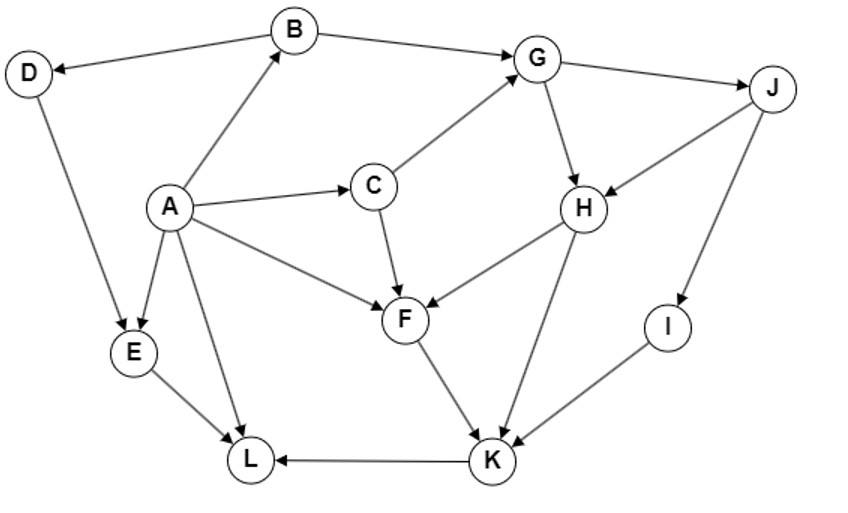
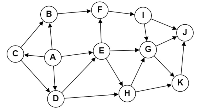
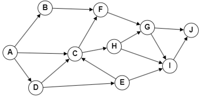
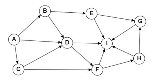
Задание №1
На рисунке изображена схема дорог, связывающих города A, B, C, D, E, F, G, H, I, J. По каждой дороге можно двигаться только в одном направлении, указанном стрелкой. Сколько существует различных путей из города A в город J?
Задание 1
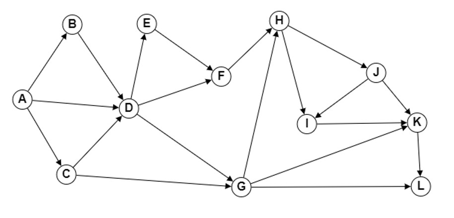
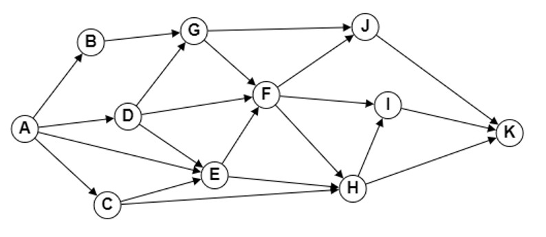
Задание №2
На рисунке изображена схема дорог, связывающих города A, B, C, D, E, F, G, H, I, J, K. По каждой дороге можно двигаться только в одном направлении, указанном стрелкой. Сколько существует различных путей из города A в город K?
Задание 2
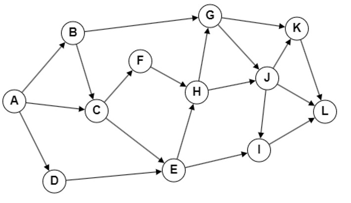
Задание №3
На рисунке изображена схема дорог, связывающих города A, B, C, D, E, F, G, H, I, J, K, L. По каждой дороге можно двигаться только в одном направлении, указанном стрелкой. Сколько существует различных путей из города A в город L?
Задание 3
Задание №4
На рисунке изображена схема дорог, связывающих города A, B, C, D, E, F, G, H, I, J, K, L. По каждой дороге можно двигаться только в одном направлении, указанном стрелкой. Сколько существует различных путей из города A в город L?
Задание 4
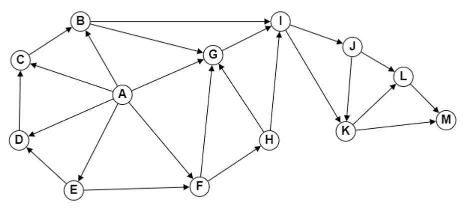
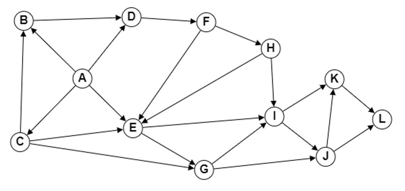
Задание №5
На рисунке изображена схема дорог, связывающих города A, B, C, D, E, F, G, H, I, J, K, L. По каждой дороге можно двигаться только в одном направлении, указанном стрелкой. Сколько существует различных путей из города A в город L?
Задание 5
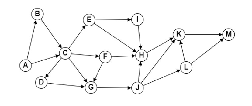
Задание №6
На рисунке изображена схема дорог, связывающих города A, B, C, D, E, F, G, H, I, J, K, L, M. По каждой дороге можно двигаться только в одном направлении, указанном стрелкой. Сколько существует различных путей из города A в город M?
Задание 6
Задание №7
На рисунке изображена схема дорог, связывающих города A, B, C, D, E, F, G, H, I, J, K, L, M. По каждой дороге можно двигаться только в одном направлении, указанном стрелкой. Сколько существует различных путей из города A в город M?
Задание 7
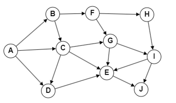
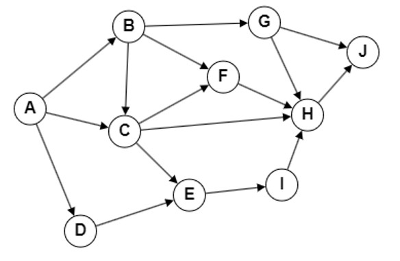
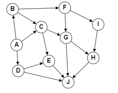
Задание №8
На рисунке изображена схема дорог, связывающих города A, B, C, D, E, F, G, H, I, J. По каждой дороге можно двигаться только в одном направлении, указанном стрелкой. Сколько существует различных путей из города A в город J, проходящих через город C?
Задание 8
Задание №9
На рисунке изображена схема дорог, связывающих города A, B, C, D, E, F, G, H, I, J, K, L, M. По каждой дороге можно двигаться только в одном направлении, указанном стрелкой. Сколько существует различных путей из города A в город M, проходящих через город G?
Задание 9
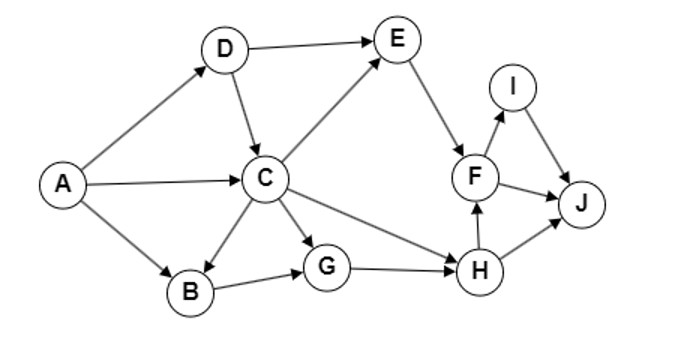
Задание №10
На рисунке изображена схема дорог, связывающих города A, B, C, D, E, F, G, H, I, J, K, L. По каждой дороге можно двигаться только в одном направлении, указанном стрелкой. Сколько существует различных путей из города A в город L, проходящих через город E?
Задание 10
Задание №11
На рисунке изображена схема дорог, связывающих города A, B, C, D, E, F, G, H, I, J, K, L, M. По каждой дороге можно двигаться только в одном направлении, указанном стрелкой. Сколько существует различных путей из города A в город M, проходящих через город В?
Задание 11
Задание №12
На рисунке изображена схема дорог, связывающих города A, B, C, D, E, F, G, H, I, J, K. По каждой дороге можно двигаться только в одном направлении, указанном стрелкой. Сколько существует различных путей из города A в город K, проходящих через город Е?
Задание 12
Задание №13
На рисунке изображена схема дорог, связывающих города A, B, C, D, E, F, G, H, I, J, K, L, M. По каждой дороге можно двигаться только в одном направлении, указанном стрелкой. Сколько существует различных путей из города A в город M, проходящих через город G?
Задание 13
Задание №14
На рисунке изображена схема дорог, связывающих города A, B, C, D, E, F, G, H, I, J. По каждой дороге можно двигаться только в одном направлении, указанном стрелкой. Сколько существует различных путей из города A в город J, не проходящих через город E?
Задание 14
Задание №15
На рисунке изображена схема дорог, связывающих города A, B, C, D, E, F, G, H, I, J. По каждой дороге можно двигаться только в одном направлении, указанном стрелкой. Сколько существует различных путей из города A в город J, не проходящих через город H?
Задание 15
Задание №16
На рисунке изображена схема дорог, связывающих города A, B, C, D, E, F, G, H, I, J. По каждой дороге можно двигаться только в одном направлении, указанном стрелкой. Сколько существует различных путей из города A в город J, не проходящих через города E и H?
Задание 16
Задание №17
На рисунке изображена схема дорог, связывающих города A, B, C, D, E, F, G, H, I, J. По каждой дороге можно двигаться только в одном направлении, указанном стрелкой. Сколько существует различных путей из города A в город J, проходящих через город С и не проходящих через город D?
Задание 17
Задание №18
На рисунке изображена схема дорог, связывающих города A, B, C, D, E, F, G, H, I. По каждой дороге можно двигаться только в одном направлении, указанном стрелкой. Сколько существует различных путей из города A в город I, проходящих через город D и не проходящих через город G?
Задание 18
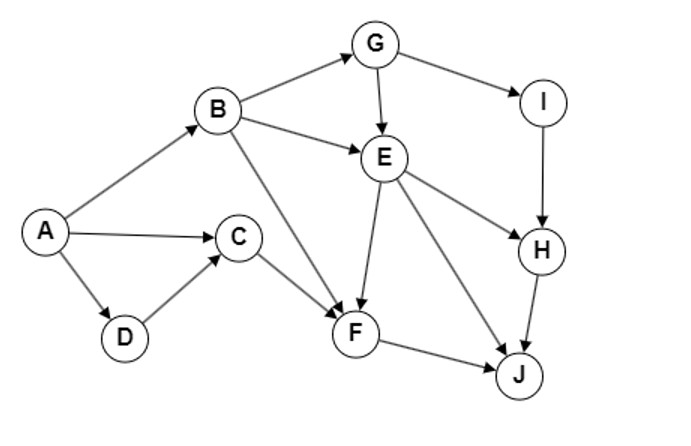
Задание №19
На рисунке изображена схема дорог, связывающих города A, B, C, D, E, F, G, H, I, J. По каждой дороге можно двигаться только в одном направлении, указанном стрелкой. Сколько существует различных путей из города A в город J, проходящих через город С и не проходящих через город I?
Задание 19
Задание №20
На рисунке изображена схема дорог, связывающих города A, B, C, D, E, F, G, H, I, J, K. По каждой дороге можно двигаться только в одном направлении, указанном стрелкой. Сколько существует различных путей из города A в город J, проходящих через город E и не проходящих через город H?
Задание 20
Задание №21
На рисунке изображена схема дорог, связывающих города A, B, C, D, E, F, G, H, I, J, K, L. По каждой дороге можно двигаться только в одном направлении, указанном стрелкой. Сколько существует различных путей из города A в город L, проходящих через город F и не проходящих через город J?
Задание 21
Задание №22
На рисунке изображена схема дорог, связывающих города A, B, C, D, E, F, G, H, I, J, K, L, M. По каждой дороге можно двигаться только в одном направлении, указанном стрелкой. Сколько существует различных путей из города A в город M, проходящих через город G и не проходящих через город K?
Задание 22
Задание №23
На рисунке изображена схема дорог, связывающих города A, B, C, D, E, F, G, H, I, J, K, L. По каждой дороге можно двигаться только в одном направлении, указанном стрелкой. Сколько существует различных путей из города A в город L, проходящих через город D, но не проходящих через город F?
Задание 23
Задание №24
На рисунке изображена схема дорог, связывающих города A, B, C, D, E, F, G, H, I, J. По каждой дороге можно двигаться только в одном направлении, указанном стрелкой. Сколько существует различных путей из города A в город J, проходящих через город E и не проходящих через город C?
Задание 24
Задание №25
На рисунке изображена схема дорог, связывающих города A, B, C, D, E, F, G, H, I, J. По каждой дороге можно двигаться только в одном направлении, указанном стрелкой. Сколько существует различных путей из города A в город J, проходящих через город G, но не проходящих через город I?
Задание 25
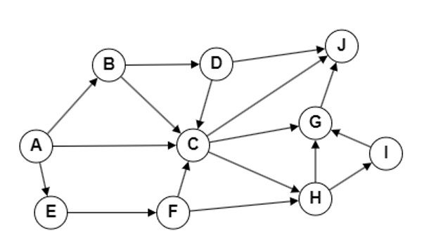
Задание №26
На рисунке изображена схема дорог, связывающих города A, B, C, D, E, F, G, H, I, J. По каждой дороге можно двигаться только в одном направлении, указанном стрелкой. Сколько существует различных путей из города A в город J, проходящих через город С и через город H одновременно?
Задание 26
Задание №27
На рисунке изображена схема дорог, связывающих города A, B, C, D, E, F, G, H, I, J. По каждой дороге можно двигаться только в одном направлении, указанном стрелкой. Сколько существует различных путей из города A в город J, проходящих через город С и через город H одновременно?
Задание 27